*Source is C. R. Nave, Cosmic Rays, HyperPhysics.*
The most important channels for muon and neutrino production are:
Two body decays $$\pi^{\pm} \rightarrow \mu^{\pm} + \nu_{\mu}({ \bar \nu_\mu}) \rm{\;\; (\sim 100\%)}$$ $$K^{\pm} \rightarrow \mu^{\pm} + \nu_{\mu}({\bar \nu_\mu}) \rm{\;\; (\sim 63.5\%)}$$
Three body decay $$K_L \rightarrow \pi^{\pm} e^{\pm}\nu_e({\bar \nu_e}) \rm{\;\; (\sim 38.7\%)}$$
At lower energies, the muon decay is also important:
$$ \mu^{\pm} \rightarrow e^{\pm} + \nu_{e}({\bar \nu_e}) + {\bar \nu_{\mu}}(\nu_\mu)$$The neutrino flavor ratio is: $$\boldsymbol{ \nu_\mu : \nu_e = 2:1}$$

It is important to know the atmosphere to understand the cosmic rays interaction in it. The vertical atmospheric depth, $X$ measured in g/cm$^{2}$ is defined as the integral in altitude of the atmospheric density $\rho$ above the observation level $h$:
$$X =\int_h^{\infty} \rho(h^\prime){\rm d}h^\prime$$In an isothermal atmosphere, the pressure decreases exponentially with increasing height. Since the temperature is assumed to be constant it follows that $\rho$ also changes exponentially and the afore equation can be written as:
$$X = X_0 {\rm e}^{-h/h_0}$$where $X_0$ is 1030 g/cm$^{2}$ is the atmospheric depth at sea level, h = 0, and $h_0$ is the scale height or the height needed to drop presure or density a factor $1/e$.
The scale height is given by:
$$ h_0 = \frac{R T}{M g_0} $$where $R$ is the ideal gas constant, $T$ is temperature, $M$ is average molecular weight, and $g_0$ is the gravitational acceleration at the planet's surface. Using typical values ($T = 273$ K and $M = 29$ g/mol) we get that $h_0 \sim 8$ km which coincidentally is the approximate height of Mt. Everest.
In reality the temperature changes and hence the scale height decreases with increasing altitude until the tropopause.
This equations are valid for vertical particles, for zenith angles < 60$^\circ$ (for which we can ignore the Earth's curvature) the formula is scaled with $1/\cos{\theta}$ giving the slant depth
The nucleon mean free path, $\lambda_N$, in the atmosphere is given (in g/cm$^2$) by:
$$\lambda_N = \frac{Am_p}{\sigma_N^{air}}$$where $\sigma_N^{air}$ is the nucleon cross-section in air, $A$ is mean the mass number of air nuclei (mainly nitrogen, oxygen) and $m_p$ is the proton mass. Assuming $A \sim 14.5$ and $\sigma_N^{air} \approx$ 300 mb, it corresponds to $\lambda_N \approx 80$g/cm$^{2}$, which corresponds to 11 interaction lengths in $X_0$.
The standard mean free path is: $l = (n\sigma^{air}_N)^{-1}$ where $n$ is the number density of air nuclei ie:
$$n = \frac{N_T}{V}$$Where $N_T$ is the total number of air nuclei and V is total air volume. $\sigma^{air}_N$ is the nucleon-air cross section.
The density mean free path is $\lambda = \rho l$, but $\rho = M_T/V$ and $M_T = N_T * m_air$ where $m_air$ is mass of an air nuclei. Putting everything together:
$$\lambda = \rho l = \frac{N_T m_{air}}{V}\frac{V}{N_T\sigma_{air}} = \frac{m_{air}}{\sigma_{air}}$$where we can use $m_{air} = A m_p$.
where $E$, $m_\pi$, $\tau_\pi$ are the pion energy, mass and lifetime and we defined:
$$\epsilon_\pi = \frac{c\tau_\pi}{m_\pi c^2 h_0}$$as a critial energy when the decay length equals the slant depth.
To go from the decay mean free path to normal units to the mean free path in units of slant depth we used:
$$\begin{align*} \Phi &= \Phi_0 e^{-\lambda l}\\ \frac{d\Phi}{d l} &= -\Phi \frac{1}{\gamma c \tau}\\ dl &= - dh/\cos\theta\\ dX &= -1/h_0 X_0 e^{-h/h_0} dh \end{align*}$$so:
$$ d\Phi = - \Phi \frac{1}{\gamma c \tau \cos\theta} dh = - \Phi \frac{h_0}{X\gamma c\tau \cos\theta} dX = \frac{m c^2 h_0}{E c \tau X \cos \theta} d X$$where we used the fact that $\gamma = \frac{E}{mc^2}$
Decay or interaction dominates depending on whether $1/d_\pi$ or $1/\lambda_\pi$ is larger. This in turns depends on the ratio between E and $\epsilon_\pi$. For pions we have:
$$\epsilon_\pi = \frac{c\tau_\pi}{m_\pi c^2 h_0} \approx 115 \;{\rm GeV}$$So we can distinguis two regimes.
For $E \gg \epsilon_\pi$ decay length is much larger than the slant depth, so interaction dominates.
For $E \ll \epsilon_\pi$ decay dominates.
The same formulas can be derived for Kaons.
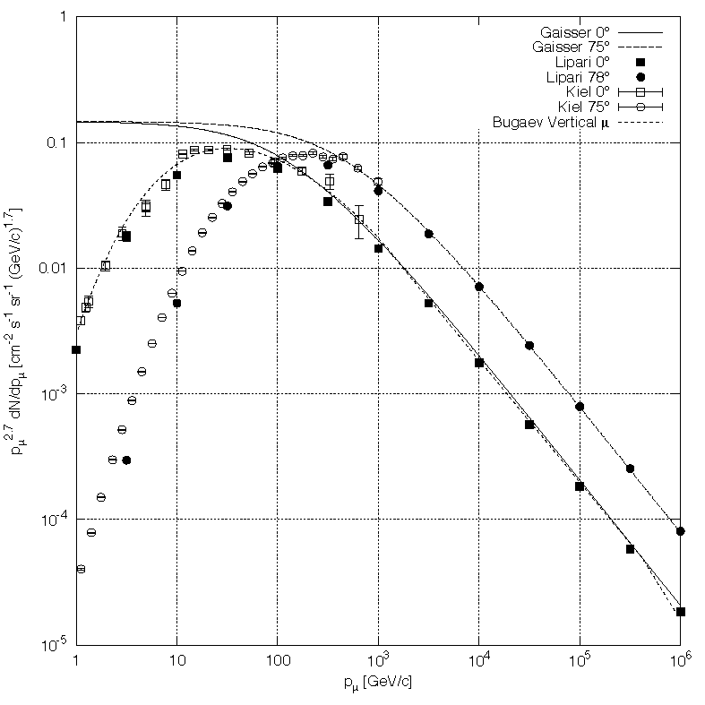
Three different regimes are distinguishable:
$E_\mu \leq \epsilon_\mu$, where $\epsilon_\mu \sim 1 {\rm\;GeV}$. In this case muon decay and muon energy loss are important. The muon flux is suppressed.
$\epsilon_\mu \leq E_\mu \leq \epsilon_{\pi,K}$, where $\epsilon_\pi = 115 {\;\rm GeV}$ and $\epsilon_K = 850 {\;\rm GeV}$. In this range all messons decay and muons follow the same spectrum as mesons and hence of CRs. The muon is almost independent of the zenith angle.
$E_\mu \gg \epsilon_{\pi,K}$, Mesons do not decay and muon flux gets suppressed.
where $F_\pi$ and $F_K$ represent the contributions from pions and kaons, respectively: $$ \begin{align*} F\pi(E\mu, \theta) = \frac{1}{1+\frac{1.1 E_\mu \cos\theta}{115 {\;\rm GeV}}} \end{align} $$ $$F_K(E_\mu, \theta) = \frac{0.054}{1+\frac{1.1 E_\mu \cos\theta}{850{\;\rm GeV}}} $$
%matplotlib inline
import matplotlib.pyplot as plt
import numpy as np
def muons(cangle, E):
a = 1./(1.+ 1.1*E*cangle/115.)
b = 0.054/(1.+ 1.1*E*cangle/850.)
return 0.14 *E**-2.7 *(a + b)
import seaborn as sea
#sea.set_style("whitegrid")
sea.set_context("poster")
fig = plt.figure(figsize=(6,8))
ax = plt.subplot(111)
ax.set_xscale("log")
ax.set_yscale("log")
ax.set_ylim(1e-4, 3e-1)
ax.set_ylabel("$E_\mu^{2.7} dN_\mu/dE_\mu [cm^{-2}s^{-1} (GeV)^{1.7}]$", fontsize=20)
ax.set_xlabel("$E_\mu(GeV)$", fontsize=20)
E = np.arange(1e0, 1e6, 10)
ax.plot(E, E**2.7*muons(np.cos(60*np.pi/180.),E), label=r"$\theta = 60^{\circ}$")
ax.plot(E, E**2.7*muons(np.cos(0*np.pi/180.),E), label=r"$\theta = 0^{\circ}$")
plt.legend()
plt.show()
Sometimes muons also come in groups or bundles of parallel muons originated from the same primary CR. Muon bundles sometime look like a single high energy muon. The multiplicity (number of muons in the bundle) if can be measured is correlated with the mass of the orignal CR.

As mentioned neutrinos and muons are strongly correlated. However due the two-body kinematics, the energy spectra of the $\nu$’s and $\mu$’s from mesons decay are different. For example, the energy of the muon in CM is given by:
$$E_\mu^{cm} = (m_\pi^2 + m_\mu^2)/2m_\pi = 109.8 {\rm\; MeV}$$and for the neutrino:
$$E_\nu^{cm} = (m_\pi^2 - m_\mu^2)/2m_\pi = 29.8 {\rm \; MeV}$$In the laboratory system, the energies are boosted by the Lorentz factor $\gamma= E_\pi /m_\pi$, but as can be seen muon carry a much larger fraction of energy than neutrinos. For energies about 1 TeV $ < E_\nu < 10^3$ TeV, the angle averaged atmospheric $\nu_\mu + {\bar \nu_\mu}$ can be approximated by a power law spectrum:
$$\frac{{\rm d}N_{\nu_\mu + {\bar \nu_\mu}}}{{\rm d}E_\nu} = 7.8 \times 10^{-11}\left(\frac{E_\nu}{1{\rm\;TeV}}\right)^{-3.6} {\rm \; cm^2\;s^{-1}\;sr^{-1}\;GeV^{-1}}$$The peak at the horizon in the atmospheric neutrino flux is due to the so-called secant theta effect. This effect occurs because pions and kaons that are produced nearly skimming the Earth have more flight time in less dense atmosphere, so they have more chance to decay than interact.
Apart from kaons and pions, charmed messons will also be produced in the atmosphere. Charm particles have lifetimes so short they almost alway decay before interacting. Muons and neutrinos from charm decay are called prompt muons/neutrinos. There are two peculiarities of the prompt fluxes:
Prompt fluxes have not been observed yet.

The energy losses due to ionization are continuous while in radiation processes the energy is lost in bursts along the muon path. The energy loss for muons at high energy can be simplified to:
$$\frac{{\rm d}E_\mu}{{\rm d}X} = -\alpha -\beta E_\mu$$where $X$ is the thickness of the material (in g/cm$^2$), $\alpha$ is the energy loss due to ionization and $\beta = \beta_{br} + \beta_{pair} + \beta_{ph}$ are the three discrete energy loss processes: bremsstrahlung, electron-positron production and electromagnetic interaction with the nuclei. Thickness is also given sometimes in units of meters water equivalent (1 m.w.e. = 10$^2$ g/cm$^2$).
The critical energy is when both losses are equal, ie $\epsilon_\mu = \alpha/\beta$. Typical values are $\alpha \simeq 2$ MeV g$^{-1}$cm$^2$ and $\beta \simeq 4 \times 10^{-6}$g$^{-1}$cm$^2$, so $\epsilon_\mu \approx 500$ GeV.
Feynman diagrams factor along two lines:
Charged current (CC) interaction - exchange of W$^{\pm}$

Neutrinos will scatter from electrons as well as nuclear matter.
Below 1 GeV neutrinos interact with hadronds via elastic or quasielastic scattering.
At $E_\nu \gg$ 1 GeV neutrinos do not scatter on hadronds as a compound of quarks, they start to see the quarks, Deep Inelastic Scattering.
At $E_\nu \gg 1$ GeV the DIS cross-section can be approximated to:
$$\sigma_{\nu p} \simeq 0.69 \times 10^{-38} \left(\frac{E_\nu}{ 1 {\rm\; GeV}}\right) {\rm \; cm}^2$$$$\sigma_{{\bar\nu} p} \simeq 0.35 \times 10^{-38}\left(\frac{E_\nu}{ 1 {\rm\; GeV}}\right){\rm \; cm}^2$$
from astropy import constants as ct
from astropy import units as u
#Earth mass
print ct.M_earth
#Neutron/proton mass
print ct.m_p
#Earth radius
print ct.R_earth
#number of nucleons
N = ct.M_earth/ct.m_n
#Earth volume
Ve = 4/3*np.pi*ct.R_earth**3
#Nucleon density
Nd = N/Ve
#Cross section
s = 1e-38 * u.cm**2
#Mean free path:
L = 1/(s * Nd.to(1/u.cm**3))
print "The mean free path is: ", L.to(u.km)
At low energies the valence quark parton distribution dominates and both the neutrino NC and CC cross-section grows linear with energy since the transfer momemtum $q^2 \ll M_{W,Z}$ and so the propagator term is $\sim 1/M^2_{W,Z}$
Above 10$^{4}$ GeV where the gauge-boson propagator restricts the momentum transfer to values near $M_{W,Z}$ ($\sim 1/(q^2 - M^2_{W,Z})$) and damps the cross-section increase.
Calculated neutrino cross sections taken from astro-ph/0310636
Calculated neutrino cross sections taken from [arXiv:1309.1764](http://arxiv.org/abs/1309.1764)At high energies the asymetry between neutrinos and antineutrinos is lost due to the interaction with sea quarks ($q\bar{q}$)
Neutrinos interact mostly with hadrons (quarks) instead of electrons due the their larger target mass. However at $E_\nu \approx 6.3$ PeV the Glashow resonance appears: ${\hbar \nu_e} + e \rightarrow W$ making the cross-section higher than the one with hadrons.
At about 100 TeV the mean free path for neutrino-nucleus scattering is about 10$^{10}$ c.m.w.e. which is about the matter thickness along the Earth diameter.
This means that UHE neutrino observatories (like IceCube) the flux of neutrinos comming from the nadir is stronly suppressed.
There is only one exception. A very high energy beam of $\nu_\tau$ at one side of the Earth $E\gg 1$ PeV can end up at the other side as lower energy $\nu_\tau, \nu_e,\nu_\mu$ thought the tau regeneration effect: $\nu_\tau \rightarrow \tau \rightarrow \nu_\tau$
An estimate of the detection rate of neutrino events is equivalent to calculate the rate of a neutrino-induced muon/cascades flux:
$$R(E_{vis}, \theta) = \int_{E_{vis}} P_{\nu\rightarrow l} (E_\nu, E_{vis}) P_{shadow}(\theta, E_\nu) \frac{{\rm d}N_\nu}{{\rm d}E_\nu}{\rm d}E_\nu$$where
The probability of a neutrino to produce a letpon or shower visible in the detector can be writen as:
$$P_{\nu \rightarrow l} = N_A \int_{E_{min}}^{E_\nu} {\rm d}E_l \frac{{\rm d}\sigma}{{\rm d}E_l}r_l(E_l, E_{vis})$$where $r_l$ is the detection range of the produced lepton/cascade with energy $E_l$ ending with the minimal energy $E_{vis}$, and ${{\rm d}\sigma}/{{\rm d}E_l}$ is the neutrino cross-section to produce a lepton/cascade with energy $E_l$.
At high energy the event rate is dominated by neutrino-induced muons due to the long range of the high energy muons.
The mean free path of neutrinos can be expressed as $\lambda = (N_A \sigma_{tot})^{-1}$. The shadow fact then can be expressed as:
$$P_{shadow} = e^{-N_A \sigma_{tot} X(\theta)}$$Where $X(\theta)$ is the column depth travelled by the neutrino through the Earth with a zenith angle $\theta$.
See Exercises 2 for an evaluation of the event rate in an underground detector.

As a result of these changes in relative phases, neutrinos oscillate from one flavor to another as they travel. Low-energy neutrinos oscillate in a shorter distance than high-energy neutrinos.
A curious aspect of quantum physics is that only the probability of the flavor of neutrino changes as it travels.
The neutrino only becomes a definite flavor when it interacts in a detector - by finding whether an electron, muon, tau is created.
The Pontecorvo-Maki-Nakagawa-Sakata matrix is the one that relates the mass eingenstates with the flavor eingenstates:
$$\begin{pmatrix} \nu_e \\ \nu_\mu \\ \nu_\tau \end{pmatrix} = U_{PMNS} \begin{pmatrix} \nu_1 \\ \nu_2 \\ \nu_1 \end{pmatrix}$$with:
$$ \begin{align*} U_{PMNS} &= \begin{pmatrix} c_{12}c_{13} & s_{12}c_{13} & s_{13}e^{-i\delta} \\ -s_{12}c_{23} - c_{12}s_{23}s_{13}e^{i\delta} & c_{12}c_{23} - s_{12}s_{23}s_{13}e^{i\delta} & s_{23}c_{13} \\ s_{12}s_{23} - c_{12}c_{23}s_{13}e^{i\delta} & -c_{12}s_{23} - s_{12}c_{23}s_{13}e^{i\delta} & c_{23}c_{13} \end{pmatrix} \\ &= \begin{pmatrix} 1 & 0 & 0 \\ 0 & c_{23} & s_{23} \\ 0 & -s_{23} & c_{23} \end{pmatrix} \begin{pmatrix} c_{13} & 0 & s_{13}e^{-i\delta} \\ 0 & 1 & 0 \\ -s_{13}e^{i\delta} & 0 & c_{13} \end{pmatrix} \begin{pmatrix} c_{12} & s_{12} & 0 \\ -s_{12} & c_{12} & 0 \\ 0 & 0 & 1 \end{pmatrix} \end{align*} $$where $s_{ij} = \sin \theta_{ij}$, $c_{ij} = \cos \theta_{ij}$. The term $\delta$ is a CP violation term, if $s_{13} = 0$ we won't be able to measure $\delta$ as it always multiplies $s_{13}$
Let's assume 2 flavor eigenstates identified as rotations of 2 mass eigenstates:
$$\begin{pmatrix} \nu_e \\ \nu_\mu \end{pmatrix} = \begin{pmatrix} \cos\theta & \sin\theta \\ -\sin\theta & \cos\theta \end{pmatrix} \begin{pmatrix} \nu_1 \\ \nu_2 \end{pmatrix}.$$The angle $\theta$ is called the mixing angle.
The mass eigenstates evolve as plane waves with fixed momemtum $p$:
$$|\nu_{i}(t, x)\rangle = e^{ -i (E_{i} t - p_i x) }|\nu_{i}(0,0)\rangle$$Let's imagine we start at $(x,t) = (0,0)$ with a pure beam of $\nu_e$:
$$\begin{pmatrix} 1 \\ 0 \end{pmatrix} = \begin{pmatrix} \cos\theta & \sin\theta \\ -\sin\theta & \cos\theta \end{pmatrix} \begin{pmatrix} \nu_1(0,0) \\ \nu_2(0,0) \end{pmatrix}.$$$$|\nu_{1}(0,0)\rangle = \cos \theta$$$$|\nu_{2}(0,0)\rangle = \sin \theta$$and as they evolved:
$$|\nu_{1}(t,x)\rangle = \cos \theta e^{ -i (E_{1} t - p_1 x) }$$$$|\nu_{2}(t,x)\rangle = \sin \theta e^{ -i (E_{2} t - p_2 x) }$$So after a while the wave form of the $\nu_\alpha$ is given by:
$$|\nu_{e}(t, x)\rangle = \cos^2 \theta e^{ -i (E_{1} t - p_1 x) } + \sin^2 \theta e^{ -i (E_{2} t - p_2 x) } = A_e$$$$|\nu_{\mu}(t, x)\rangle = -sin\theta\cos \theta e^{ -i (E_{1} t - p_1 x) } + \cos\theta\sin \theta e^{ -i (E_{2} t - p_2 x) } = A_e$$using $e^{\pm ix} = \cos x \pm i\sin x$
$$ \begin{align*} P(\nu_e \rightarrow \nu_\mu)&= 2 \cos^2\theta\sin^2\theta ( 1 - \cos (E_2t - p_2x - E_1 t - p_1 x))\\ &= \sin^2 2\theta \sin^2 \left(\frac{(E_2 - E_1)t - (p_2 - p_1)x }{2}\right) \\ &=\sin^2 2\theta \sin^2 \left(\frac{\Delta m_{12}^2 L}{4E}\right) \end{align*} $$using $p_i = \sqrt{E^2_i -m_i^2}\sim E_i(1-\frac{m^2_i}{E_i^2})$, and in natural units $t = x = L$ we can write the phase difference as:
$$(E_2 - E_1)t - (p_2 - p_1)x = (\frac{m_1^2}{2E_1}-\frac{m_2^2}{2E_2})L = \frac{\Delta m_{12}^2L}{2E}$$And the survival probability is:
$$P(\nu_e \rightarrow \nu_e) = 1 - P(\nu_e \rightarrow \nu_\mu) = 1- \sin^2 2\theta \sin^2\left(\frac{\Delta m_{12}^2 L}{4E}\right)$$Replacing $\hbar$ and $c$ the expression can be written as:
$$P(\nu_e \rightarrow \nu_e) = 1 - \sin^2 2\theta \sin^2\left[1.27 \left(\frac{\Delta m^2_{12}}{{\rm eV}^2}\right)\frac{L/{\rm km}}{E/{\rm GeV}}\right]$$NOTE: We assumed that the mass eigenstates are created with the same energy or momentum and so $E_i = E_j$.This assumption is not necessary and it comes from the fact we use the plane wave approximation. Using the correct formalism of wave packets the result is the same.
import astropy.units as u
sea.set_style("darkgrid")
L = 180 # km
delta_m_sun = 7.0e-5 # eV^2
sin_square_theta_12 = 0.84 #maximum mixing
def prob_survival(E, L):
return 1 - sin_square_theta_12 * np.sin(1.27*delta_m_sun * L / E)**2
fig, ax = plt.subplots()
ax.set_ylim(0,1)
ax.set_xlabel(r"$E_\nu ({\rm MeV})$")
ax.set_ylabel("$P_{ee}$")
E = np.linspace(0.1, 15, 1000) #in MeV
ax.plot(E, prob_survival(E*1e-3,L), label="L = %i km\n"%L+r"$P_{ee} = 1 -\sin^2 2\theta\sin^2(\Delta m^2L/4E_\nu)$")
plt.legend(loc="upper right")
plt.show()
Eventually at low enough E / long baselines, neutrino beam becomes fully mixed and energy resolution and source extent conspire to produce 50/50 beam.
y, x = np.meshgrid(np.arange(50,180,1), E)
z = prob_survival(x*1e-3,y)
fig = plt.figure()
ax = plt.subplot(111)
img = ax.pcolormesh(x, y, z, cmap = 'RdBu')
#ax.set_xscale("log")
#ax.set_yscale("log")
cax = fig.colorbar(img)
ax.set_ylabel("Distance (km)")
ax.set_xlabel(r"$E_\nu ({\rm MeV})$")
cax.set_label("Probability")
Taking greek letters of the flavor eingenstates and latin letter the mass eingenstates we can write:
$$|\nu_\alpha(x,t)\rangle = \sum_{k=1,2,3} U_{\alpha k} |\nu_k (x,t)\rangle = \sum_{k=1,2,3} U_{\alpha k} e^{-i\Phi_k}|\nu_k (0,0)\rangle$$inverting the mixing matrix we have:
$$|\nu_k (0,0)\rangle =\sum_\gamma U^*_{\gamma k} |\nu_\gamma(0,0)\rangle$$putting it in the equation above:
$$|\nu_\alpha(x,t)\rangle =\sum_{k=1,2,3} U_{\alpha k} e^{-i\Phi_k}\sum_\gamma U^*_{\gamma k} |\nu_\gamma(0,0)\rangle$$If we want to evaluate the probability of finding a neutrino $\beta$ when we had $\alpha$ is the transition amplitude is given by:
$$\begin{align*} \mathcal{A}(\nu_\alpha(0,0)\rightarrow \nu_\beta(x,t)) &= \langle \nu_\beta(x,t)|\nu_\alpha(0,0)\rangle \\ &= \sum_\gamma \sum_k U_{\gamma k}e^{i\Phi_k}U^*_{\beta k}\langle \nu_\gamma(0,0)|\nu_\alpha(0,0)\rangle \\ &= \sum_k U_{\alpha k}e^{i\Phi_k}U^*_{\beta k} \end{align*}$$where we used the fact that flavor eingenstates are ortogonal and hence $\langle \nu_\gamma(0,0)|\nu_\alpha(0,0)\rangle = \delta_{\gamma,\alpha}$.
The oscillation probability is then:
$$\begin{align*} P(\nu_\alpha \rightarrow \nu_\beta) = |\mathcal{A}(\nu_\alpha(0,0)\rightarrow \nu_\beta(x,t))|^2 &= \left|\sum_k U_{\alpha i}e^{i\Phi_i}U^*_{\beta i}\right|^2\\ &=\sum_i U_{\alpha i}e^{i\Phi_i}U^*_{\beta i}\sum_j U^*_{\alpha j}e^{-i\Phi_j}U_{\beta j}\\ &=\sum_j\sum_i U_{\alpha i}U^*_{\beta i}U^*_{\alpha j}U_{\beta j}e^{-i(\Phi_j-\Phi_i)} \end{align*}$$where $\Phi_i = E_i t- p_i x$ and so:
$$\Phi_i - \Phi_j = (E_i - E_j)t - (p_i -p_j)x$$using $p_i = \sqrt{E^2_i -m_i^2}\sim E_i(1-\frac{m^2_i}{E_i^2})$ we can write the phase difference as:
$$\Phi_i - \Phi_j = (\frac{m_i^2}{2E_i}-\frac{m_j^2}{2E_j})L = \frac{\Delta m_{ij}^2L}{2E}$$where we used the fact that at relativistic speeds $t = x = L$ and a dodgy approximation where we assumed that the mass eigenstates are created with the same energy or momentum and so $E_i = E_j$.This assumption is not necessary, but we find that whatever assumption is made you get the the same result. The fact that we have to make such an approximation comes from the way that we are modelling the mass eigenstates as plane waves. If we were to do the analysis assuming that the mass states were wavepackets instead we would not need the equal momentum (equal energy) assumption and would still get the same answer.
With this we can rewrite the oscillation probability as:
$$\begin{matrix}P(\nu_\alpha \rightarrow \nu_\beta)=\delta_{\alpha\beta} & - & 4{\displaystyle \sum_{i>j}{\rm Re}(U_{\alpha i}^{*}U_{\beta i}U_{\alpha j}U_{\beta j}^{*}})\sin^{2}(\frac{\Delta m_{ij}^{2}L}{4E})\\ & + & {\displaystyle 2\sum_{i>j}{\rm Im}(U_{\alpha i}^{*}U_{\beta i}U_{\alpha j}U_{\beta j}^{*})\sin(}\frac{\Delta m_{ij}^{2}L}{2E}),\end{matrix}$$For $\delta = 0$ the last term is 0.
Only if $U$ is not real we can have CP violation effects ie:
$$P(\nu_\alpha \rightarrow \nu_\beta) - P({\bar \nu_\alpha} \rightarrow {\bar \nu_\beta}) ={ 4 \sum_{i>j}{\rm Im}(U_{\alpha i}^{*}U_{\beta i}U_{\alpha j}U_{\beta j}^{*})\sin(}\frac{\Delta m_{ij}^{2}L}{2E})$$But this means that neutrinos oscillations can be described in terms of 6 parameters: $\theta_{12}$, $\theta_{13}$ and $\theta_{23}$ plus 2 mass-squared differences, $\Delta m_{12}^2$ and $\Delta m_{32}^2$ and one CP violating phase $\delta_{CP}$. Althought we can measured the mass-squared differences in neutrino oscillation experiments, we cannot know the absolute scales nor the mass hierarchy.
Where $\Delta m_{12}^2 = \Delta m_{Sol}^2$ and $\Delta m_{31(2)}^2 = \Delta m_{atm}^2$. Sometimes $\Delta m_{atm}^2$ is defined as: $$\Delta m_{atm}^2 =\left| m_3^2 - \frac{(m_1^2 + m_2^2)}{2} \right|$$
Assuming $\Delta m_{21}^2 \ll \Delta m_{31}^2 \sim \Delta m_{32}^2$ and small $\theta_{13}$:
| $$\begin{pmatrix} 1 & 0 & 0 \\ 0 & c_{23} & s_{23} \\ 0 & -s_{23} & c_{23} \end{pmatrix}$$ | Atmospheric and Long Baseline accelerators | If $\Delta m_{21}^2L/E \ll 1$: $$ P(\nu_\mu \rightarrow \nu_\tau) \simeq \sin^2 2\theta_{23}\sin^2\frac{\Delta m_{31}^2}{3E}L$$ |
| $$\begin{pmatrix} c_{13} & 0 & s_{13}e^{-i\delta}\\ 0 & 1 & 0\\ -s_{13}e^{i\delta} & 0 & c_{13}\end{pmatrix}$$ | Short Baseline reactors | If $\Delta m_{21}^2L/E \ll 1$: $$ P(\nu_e \rightarrow \nu_e) \simeq 1 - \sin^2 2\theta_{13}\sin^2\frac{\Delta m_{31}^2}{3E}L$$ |
| $$\begin{pmatrix} c_{12} & s_{12} & 0 \\ -s_{12} & c_{12} & 0 \\ 0 & 0 & 1 \end{pmatrix}$$ | Solar and Long Baseline reactors | If $\Delta m_{31}^2L/E \gg 1$: $$ P(\nu_e \rightarrow \nu_e) \simeq 1 - \sin^2 2\theta_{12}\sin^2\frac{\Delta m_{12}^2}{3E}L$$ |
Neutrinos from the Sun are produced by some of the fusion reactions in the $pp$ chain or the CNO cycle. The combined effect is:
$$4p \rightarrow ^4He + 2e^+ 2\nu_e$$From the beginning of the solar-neutrino observation a deficit of the electron neutrino predicted by the Standard Solar Model was observed: the solar-neutrino problem
In 1999 SNO in Canada started taking data. This experiment was able to detect $\nu_e$ by CC interactions and $\nu_x$ by NC interaction solving the mistery of the solar-neutrino problem. It is now understood as a neutrino flavor oscillation. The results of SNO together with KamLAND (a long baseline neutrino detector) confirmed the Large Mixing Angle solution (LMA) of the solar sector:
$$\sin^2 \theta_{12} \simeq 0.30$$$$\Delta m_{12}^2 \equiv \Delta m_{\odot}^2 \simeq 8 \times 10^{-5} {\rm \; eV^2}$$First evidence of atmospheric neutrino oscillations came from Super-Kamiokande experiment in 1998. By scanning in zenith angle, is like changing the $L$.
If atmospheric mixing is non-maximal, it remains to determine in which “octant" the mixing angle $\theta_{23}$ lies. For a $\theta_{23}$ in the first octant (< 45$^{\circ}$) the mass eigenstate $\nu_3$ is tau heavy, i.e., the tau neutrino fraction is larger than the muon neutrino fraction. Conversely, for a $\theta_{23}$ in the second octant (> 45$^{\circ}$) the state $\nu_3$ is muon heavy.
The $U_{PMNS}$ matrix must be modified to account for the the fact that electron neutrinos have an extra interaction not present for $\nu_\mu$ and $\nu_\tau$ when travelling through matter. Elastic scattering of $\nu_e$ on electron can occur via exchange of a charged $W$-boson as well as by exchange of the neutral $Z$-boson adding a term $V_e = G_F \sqrt{2}N_e$ in the mass differences for electrons.
Without entering in the maths, what happens here is that a resonance effect occurs, ie, even if the mixing angle is small in vacuum it can get amplified in matter. This resonance can be expressed as a condition on the electron density $N_e$ which is appropriate for systems such as stellar interiors (Sun or supernovae too) where provided the core density is high enough, there is always a region in the neutrinos’ path exiting the star where it passes through resonance.
This is known as the MSW effect for the theorists who discovered it - Mikheyev, Smirnov, and Wolfenstein.
Oscillagrams
def PMNS_Factory(t12, t13, t23, d):
s12 = np.sin(t12)
c12 = np.cos(t12)
s23 = np.sin(t23)
c23 = np.cos(t23)
s13 = np.sin(t13)
c13 = np.cos(t13)
cp = np.exp(1j*d)
return np.array([[ c12*c13, s12*c13, s13*np.conj(cp) ],
[-s12*c23 - c12*s23*s13*cp, c12*c23 - s12*s23*s13*cp, s23*c13],
[ s12*s23 - c12*s23*s13*cp,-c12*s23 - s12*c23*s13*cp, c23*c13]])
def posc(a, b, U, dm2, LEratio):
"""
Gives the oscillation probability for nu(a) -> nu(b)
for PMNS matrix U, and L in km and E in GeV, and dm2 in eV^2
"""
s = 0
for j in range(2):
for i in range(j+1, 3):
arg = 5.068*dm2[i+j-1]*LEratio
mxe = np.conj(U[a,i])*U[b,i]*U[a,j]*np.conj(U[b,j])
s += -4*mxe.real*np.sin(0.25*arg)**2 + 2*mxe.imag*np.sin(0.50*arg)
if a == b: s += 1.0
return s
t12 = np.arcsin(0.312**0.5)
t13 = np.arcsin(0.0251**0.5) #Controlls the size of the small wiggles.
#t13 = np.arcsin(0.0)
t23 = np.arcsin(0.42**0.5)
dm2 = [ 7.58E-05, 2.27E-03, 2.35E-03]
delta = 0
U = PMNS_Factory(t12, t13, t23, delta)
Let's plot some oscillograms for a $\nu_e$ beam
LE = np.linspace(0, 36000, 3600)
Pe = posc(0, 0, U, dm2, LE)
Pm = posc(0, 1, U, dm2, LE)
Pt = posc(0, 2, U, dm2, LE)
fig, ax = plt.subplots()
ax.plot(LE, Pe, '-', label=r'$\nu_e \rightarrow \nu_e$')
ax.plot(LE, Pm, 'k', label=r'$\nu_e\rightarrow\nu_\mu$')
ax.plot(LE, Pt, 'r', label=r'$\nu_e\rightarrow\nu_\tau$')
ax.set_xlabel("L/E (km/GeV)")
ax.set_ylabel(r"Probability $\nu_e \rightarrow \nu_x$")
ax.set_ylim(0,1)
plt.legend(loc="upper center")
plt.show()
LE = np.linspace(0, 3600, 360)
Pe = posc(0, 0, U, dm2, LE)
Pm = posc(0, 1, U, dm2, LE)
Pt = posc(0, 2, U, dm2, LE)
fig, ax = plt.subplots()
ax.plot(LE, Pe, '-', label=r'$\nu_e \rightarrow \nu_e$')
ax.plot(LE, Pm, 'k', label=r'$\nu_e\rightarrow\nu_\mu$')
ax.plot(LE, Pt, 'r', label=r'$\nu_e\rightarrow\nu_\tau$')
ax.set_xlabel("L/E (km/GeV)")
ax.set_ylabel(r"Probability $\nu_e \rightarrow \nu_x$")
ax.set_ylim(0,1)
plt.legend(loc="upper center")
plt.show()
Pressure and temperature effects in the muon and neutrino fluxes.
Sterile neutrinos, are there more than 3 neutrinos? What does cosmology tell us, what do experiements tell us? (LSND and reactor anomalies)
Neutrino experiments: SNO, Kamland, DayaBay etc..
Again these might be topics for your research project.